Il 12 giugno si voterà per i referendum

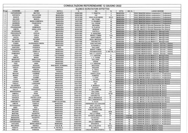
Pubblichiamo, di seguito, gli elenchi degli scrutatori (effettivi e supplenti) sorteggiati a Manduria.
SCRUTATORI EFFETTIVI


SCRUTATORI SUPPLENTI


Il 12 giugno si voterà per i referendum

Pubblichiamo, di seguito, gli elenchi degli scrutatori (effettivi e supplenti) sorteggiati a Manduria.
SCRUTATORI EFFETTIVI


SCRUTATORI SUPPLENTI

